pH值的定义是氢离子活度的负对数,用公式表示为-lg[H+],在化工、石油、发电、造纸、食品、医疗、制药等行业都需要将pH作为重要的参考指标。pH标度是一个从0到14的无量纲对数刻度,在标准状况下(25℃)pH=7为中性,pH<7为酸性,pH>7为碱性。但pH会随着温度的变化而变化,其原因是pH和水的离子积Kw有关,而Kw是温度依赖的。pH=7为中性是只在25℃时成立的,当温度升高水的离子积Kw增大,中性点的pH就会变小,见表1。温度还会影响pH计电极的斜率从而使测量结果产生误差,因此在测量pH时就必须要考虑到温度这个重要条件。为了减少温度对测量带来的影响,在实际使用pH计测量时就需要对测量结果进行补偿,一方面是对pH计的电极进行温度补偿,另一方面是对待测溶液本身随温度变化的溶液补偿。
| 温度(℃) | 水的离子积(Kw) | 中性pH |
0 | 0.114 × 10⁻¹⁴ | 7.47 |
10 | 0.293 × 10⁻¹⁴ | 7.27 |
20 | 0.681 × 10⁻¹⁴ | 7.08 |
25 | 1.008 × 10⁻¹⁴ | 7.00 |
30 | 1.471 × 10⁻¹⁴ | 6.92 |
40 | 2.916 × 10⁻¹⁴ | 6.77 |
50 | 5.476 × 10⁻¹⁴ | 6.63 |
60 | 9.614 × 10⁻¹⁴ | 6.51 |
70 | 15.90 × 10⁻¹⁴ | 6.40 |
80 | 25.10 × 10⁻¹⁴ | 6.30 |
90 | 38.00 × 10⁻¹⁴ | 6.21 |
100 | 55.00 × 10⁻¹⁴ | 6.13 |
表1.不同温度下水的pH中性点
温度补偿是指对pH电极本身的测量信号进行温度校正的过程,pH电极的斜率会随着溶液温度的变化而变化,这符合能斯特方程。温度补偿的目的是确保在任何温度下,pH计都能将电极产生的毫伏信号准确地转换为正确的pH值读数。pH计一般采用电位法的原理,通常使用复合电极来测量被测溶液中的H+离子浓度值,复合电极结构如图1所示。电极探头分为指示电极和参比电极两部分,参比电极一般采用银/氯化银电极,它对溶液中的H+离子活度无影响,且具有恒定的电极电位;指示电极是由对H+离子反应灵敏的玻璃探头构成的。在测量的过程中H+离子浓度的不同会使得指示电极和参比电极之间形成与H+离子浓度对应的电位,只要测量出这个电位值,便可以得出被测溶液的pH值。

图1.复合电极
电极探头的电位和被测溶液中的H+离子浓度的关系符合能斯特方程:
E=E0+(RT/nF)*ln aH+
其中,E为传感器电极的电位;E0为参比电极上的电动势;R为气体常数,数量值为8.314J/(K·mol );T为热力学温度;n为离子反应中的得失电子数目,这里指的是H+离子的数量,n的值取1;F是法拉第常数,取值96487C/mol;aH+为被测溶液H+离子的浓度。将上面的数据代入公式ln aH+可以换成2.302 lg aH+,能斯特方程转换为:
E=E0+0.1984T*lg aH+
对温度T进行求导得:
dE/dT=dE0/dT+0.1984T*(d lg aH+/dT)+0.1984lg aH+
dE0/dT为参比电极电位随温度的变化量,该项与探头自身特性相关;
0.1984T*(d lg aH+/dT)为被测溶液pH值随温度的变化关系,和溶液温度以及H+离子浓度相关;
0.1984lg aH+为能斯特方程的斜率,lg aH+ 就是溶液的pH值,斜率表示当温度变化1℃时传感器的输出电压的变化量为0.1984 mV。

图2.能斯特方程电极斜率随温度变化
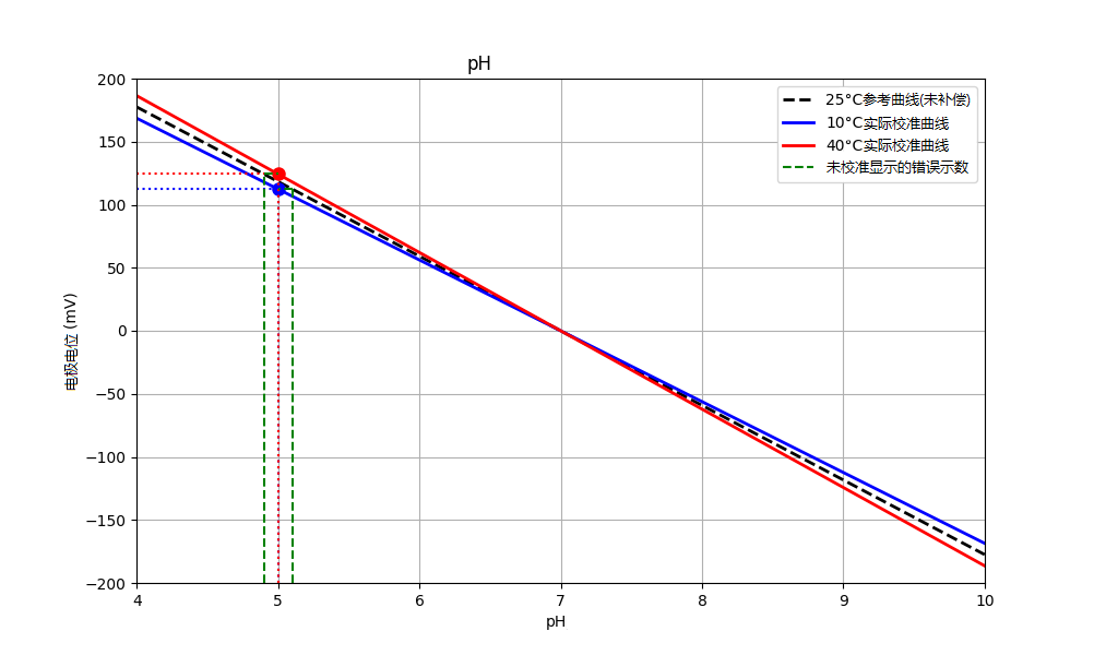
通常情况下,我们所描述的pH值是指在特定环境温度下的酸碱性程度,如果温度不能确定则得出的pH值也会失去参考意义,因此温度补偿是得出正确pH值的关键环节。例如我现在在10℃和40℃下测量一个pH=5的样本溶液,如果没有启用温度补偿pH计就会按照默认25℃的曲线来进行测量,所得出的结果也一定是不准确的。若启用了温度补偿,则是相当于pH计在对应的温度下自身重新拟合了曲线,使得能斯特方程电极斜率发生了变化,此时再去测量10℃和40℃下的溶液得出的pH值就是准确的,如图3所示。

图3.温度补偿开启前后样本溶液的电位值
pH计一般采用自动温度补偿,为了得到被测溶液的pH值和温度之间的关系,由于传感器电极输出的是电压信号,所以首先可以探知传感器电极的输出电压和被测溶液的pH值之间的变化关系,在温度稳定的条件下,pH值电极输出的电压信号与溶液pH值之间存在着某种线性关系,为了对温度进行补偿,采取分段测量的办法,即选取多个温度段,在每一个温度环境下测量出pH电极的输出电压和被测溶液pH值的变化,可以得到在特定温度下的一组离散的数据,然后对这些离散的数据进行线性拟合。通常会选择25℃下pH=4.01、pH=6.86、pH=9.18的标准溶液,控制标准溶液处在不同的温度环境中,例如10℃、20℃、30℃、40℃和50℃,之后分别测试这几种标准溶液在这些温度下的传感器输出电压,再通过单片机进行数据处理和分析得出一个温度补偿函数。
电极的状态也关乎着测量的准确性。随着使用次数的增加,pH计的电极需要定期校准,一般会采用两点校准法。校准时会使用25℃下pH=4.01、pH=6.86、pH=9.18的标准溶液,标准溶液pH值随温度变化情况见表2。当待测溶液是酸性时,使用pH=4.01和pH=6.86这两种溶液进行校准;当待测溶液是碱性时,使用pH=6.86和pH=9.18这两种溶液。将传感器放入标准溶液后需要至少静置5分钟,尽量避免晃动,一点微小的动作就可能会影响到校准过程,待数值长时间稳定在一个值后再去确认,否则可能会产生误差。
温度(℃) | 4.00 | 6.86 | 9.18 |
10 | 4.00 | 6.92 | 9.33 |
15 | 4.00 | 6.90 | 9.28 |
20 | 4.00 | 6.88 | 9.23 |
25 | 4.00 | 6.86 | 9.18 |
30 | 4.01 | 6.85 | 9.14 |
35 | 4.02 | 6.84 | 9.10 |
40 | 4.03 | 6.84 | 9.07 |
45 | 4.04 | 6.83 | 9.04 |
50 | 4.06 | 6.83 | 9.02 |
表2.pH标准缓冲液pH值随温度变化情况